
ggplot2
After today’s session you will be able to:
ggplot2 graphsggplot2 graph aesthetics and customize labels / colors
Two main options for data viz in R:
ggplot2ggplot2 packageTwo main options for data viz in R:

ggplot2
ggplot2
ggplotaes
ggplot2
ggplot2, make a graph with the minnow data where:
ggplot2

ggplot2 needs you to specify your geometry!
geom_...geom_bar, geom_point, etc.
+ to add geometries to a plot
ggplot2

+ to the end of the linegeom_point()
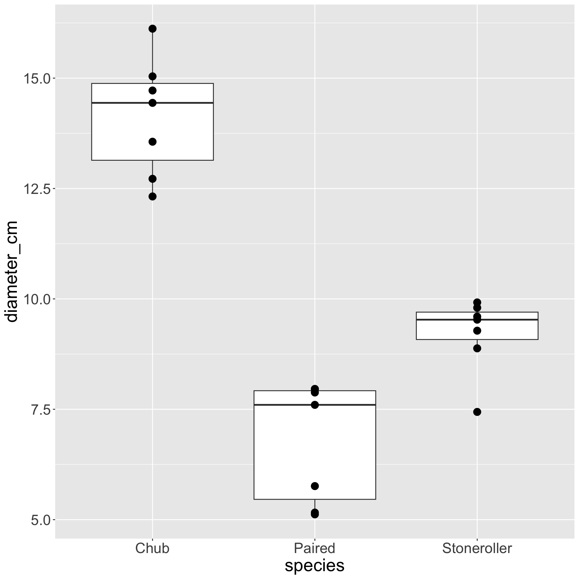
geom_point() to geom_boxplot()



ggplot and aes functions

geom_boxplot and geom_point
+ after whichever you put first, then put the other
geom_boxplot is first?
geom_point is first?


See how points are “behind” boxplots on the left?
aes
labs function!
labs has arguments x and y that expect characters to put as titles

labs to do do the following:


color or fill aesthetics

aes call at the top?
color to fill. Now what does the plot look like?
color = species

fill = species


color and fill?


scale_fill_manual() or scale_color_manual()
values
name 1 name 2 name 3
"entry 1" "entry 2" "entry 3"
# Make a plot where the color and y-axis are mapped to the same variable
ggplot(data = my_df, mapping = aes(x = x_var, y = y_var, color = y_var)) +
# Make it a scatterplot
geom_point() +
# Add custom axis labels
labs(x = "Custom X Label", y = "Custom Y Label") +
# Customize colors
scale_color_manual(values = c("name 1" = "#00FF00", "name 2" = "#FF0000", "name 3" = "#0000FF"))


Back to Course Page: Programming in R for Biologists